ВСТУПИТЕЛЬНОЕ СЛОВО
ХРОНИЧЕСКАЯ СЕРДЕЧНАЯ НЕДОСТАТОЧНОСТЬ
Что известно о предмете исследования?
- Хроническая сердечная недостаточность (ХСН) ассоциирована с высокой частотой госпитализаций. Ключевыми молекулярно-патофизиологическими процессами, вовлеченными в развитие ХСН и определяющими тяжесть ее течения, являются хроническое низкоинтенсивное воспаление и программируемая клеточная гибель.
- Каспазы — ферменты, участвующие в процессах программируемой клеточной гибели и играющие ключевую роль в запуске апоптоза (невоспалительная форма клеточной гибели) и пироптоза (воспалительная форма клеточной гибели, сопровождающаяся высвобождением провоспалительных цитокинов).
Что добавляют результаты исследования?
- Показано, что сывороточные уровни каспазы-1 статистически значимо выше в сыворотке крови больных с ХСН, чем в группе без этого заболевания.
- При проведении анализа различий в зависимости от фракции выброса левого желудочка (ФВ ЛЖ) было выявлено, что концентрация каспазы-8 при ХСН с низкой ФВ ЛЖ в 3 раза выше, чем в группе больных с ХСН с сохраненной ФВ ЛЖ.
Цель. Провести сравнительный анализ комплекса биомаркеров программируемой клеточной гибели — каспаз-1, -8, адипоцитокинов — лептина, адипонектина и интерлейкина-6 (ИЛ-6) — у пациентов с хронической сердечной недостаточностью (ХСН) и у лиц без данного заболевания.
Материал и методы. Обследованы 154 пациента в возрасте от 59 до 72 лет: 54 пациента с диагнозом ХСН в качестве основной группы и 100 пациентов без ХСН качестве группы контроля. Концентрации каспаз-1, -8, адипонектина, лептина и интерлейкина-6 определяли методом иммуноферментного анализа.
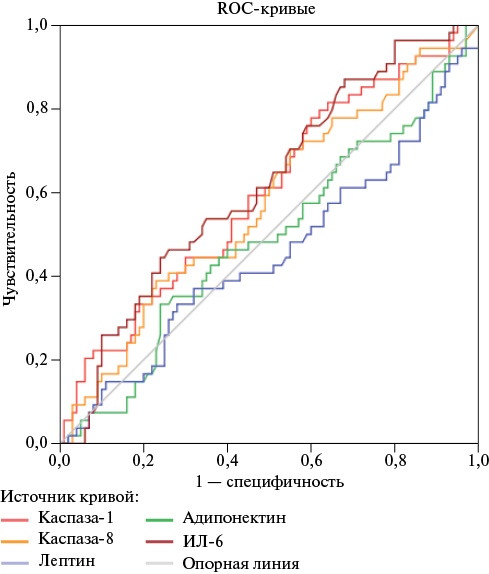
Результаты. У пациентов с ХСН выявлены статистически значимо более высокие концентрации каспазы-1 и ИЛ-6, чем в группе контроля. С целью подтверждения потенциальной диагностической эффективности исследуемых биомаркеров был проведен ROC-анализ, который показал, что при сравнении группы пациентов с ХСН и группы контроля наиболее высокие площади под кривой были характерны для каспазы-1 и ИЛ-6. При анализе различий в зависимости от фракции выброса левого желудочка (ФВ ЛЖ) было выявлено, что медиана концентрации каспазы-8 при ХСН с низкой ФВ ЛЖ (ХСНнФВ) 422,2 [139,7-1246,2] пг/мл в 3 раза выше, чем в группе больных с ХСН с сохраненной ФВ ЛЖ — 126,8 [46,8- 293,5] пг/мл.
Заключение. Выявлена связь сывороточных концентраций каспазы-1 и ИЛ-6 с наличием ХСН, при этом концентрация каспазы-8 ассоциировалась с ФВ ЛЖ и была статистически значимо более высокой в подгруппе с ХСНнФВ.
Что известно о предмете исследования?
- Ремоделирование миокарда у большинства пациентов с фенотипом хронической сердечной недостаточности (ХСН) с сохраненной фракцией выброса (ХСНсФВ) характеризуется концентрической гипертрофией, прогрессированием диастолической дисфункции, основой которых выступает гипертрофия и диффузный фиброз сердечной мышцы.
- Основным диагностическим/прогностическим маркером ХСН является N-концевой промозговой натрийуретический пептид.
Что добавляют результаты исследования?
- Ремоделирование миокарда у пациентов с диабетическим фенотипом ХСНсФВ на фоне ишемической болезни сердца и артериальной гипертонии характеризуется преобладанием эксцентрической гипертрофии левого желудочка, диастолической дисфункцией 2 типа на фоне выраженного апоптоза кардиомиоцитов, активации пролиферативного потенциала и ангиогенеза в миокарде.
- Низкий уровень окситоцина в крови является отличительной особенностью диабетического фенотипа ХСНсФВ при сопоставимом повышении N-концевого промозгового натрийуретического пептида в общей когорте пациентов с ХСНсФВ.
Цель. Изучить новые биомаркеры, а также клинические и морфологические особенности ремоделирования миокарда у пациентов с диабетическим фенотипом (ДФ) хронической сердечной недостаточности с сохраненной фракцией выброса (ХСНсФВ), госпитализированных для проведения планового аортокоронарного шунтирования.
Материал и методы. Исследованы 120 пациентов обоего пола с ХСНсФВ — 60+60 (с/без сахарного диабета 2 типа — СД2Т) I-IIА стадии, I-III функциональный класс на фоне ишемической болезни сердца и артериальной гипертонии. Помимо стандартного обследования всем определялись уровни N-концевого промозгового натрийуретического пептида и окситоцина (Ох) в крови, типы ремоделирования миокарда левого желудочка (ЛЖ) и диастолической дисфункции, рассчитывался индекс глобальной функции ЛЖ, выполнялось общегистологическое и иммуногистохимическое (каспаза-3, bcl-2, ki-67 и окситоциновые рецепторы) исследования биоптатов миокарда ушка правого предсердия.
Результаты. Ремоделирование миокарда при ДФ ХСНсФВ характеризовалось преобладанием эксцентрической гипертрофии (43%), диастолической дисфункции 2 типа (р=0,028), более низкой фракции выброса ЛЖ (р=0,002) и более низкого индекса глобальной функции ЛЖ (р=0,042) в сравнении с пациентами без СД2Т. Морфологический профиль миокарда при ДФ ХСНсФВ продемонстрировал значимую активацию ангиогенеза (р=0,006), апоптоза (р<0,001) и пролиферативного потенциала кардиомиоцитов (р=0,049). Выявленные изменения сопровождались выраженным снижением уровня Ох в крови (р<0,001) и высокой экспрессией окситоциновых рецепторов (р<0,001) в миокарде пациентов с ДФ ХСНсФВ по сравнению с группой без СД2Т.
Заключение. Отличительной особенностью маркерной панели ремоделирования миокарда при ДФ ХСНсФВ у пациентов в настоящем исследовании стали низкий уровень Ох в крови и высокий индекс апоптоза кардиомиоцитов.
ИШЕМИЧЕСКАЯ БОЛЕЗНЬ СЕРДЦА И ИНФАРКТ МИОКАРДА
Что известно о предмете исследования?
- Пациенты, перенесшие инфаркт миокарда на фоне хронической сердечной недостаточности, нередко имеют тревогу и депрессию, что ухудшает прогноз.
- Стандартная кардиореабилитация не всегда корректирует психологическое состояние. Интервальная гипокси-гипероксическая терапия (ИГГТ) улучшает функцию сердечно-сосудистой системы, но ее влияние на психический статус и качество жизни изучено недостаточно.
Что добавляют результаты исследования?
- У пожилых пациентов после инфаркта миокарда на фоне хронической сердечной недостаточности добавление ИГГТ к стандартной реабилитации достоверно снизило тревожность, повысило качество жизни и улучшило переносимость физических нагрузок по сравнению со стандартной реабилитацией.
- ИГГТ безопасна и хорошо переносится, предлагается комплексный инструмент реабилитации с включением этого метода.
Цель. Изучить влияние реабилитации с применением интервальных гипокси-гипероксических тренировок (ИГГТ) на уровень тревоги и депрессии, качество жизни (КЖ) и толерантность к физической нагрузке у пожилых пациентов с инфарктом миокарда (ИМ) и хронической сердечной недостаточностью (ХСН).
Материал и методы. В одноцентровое проспективное рандомизированное контролируемое исследование в параллельных группах было включено 102 пациента пожилого возраста с ИМ и ХСН. Пациенты были рандомизированы в две группы: опытная (n=51) получала стандартную реабилитацию в сочетании с ИГГТ на аппарате ReOxy; контрольная (n=51) — только стандартную реабилитацию. У всех пациентов проведена оценка тревожно-депрессивного состояния с использованием HADS (Hospital Anxiety and Depression Scale, госпитальная шкала тревоги и депрессии), КЖ с помощью опросника EQ-5D (EuroQol группа), дистанции при тесте 6-минутной ходьбы.
Результаты. Сформированные группы были сопоставимы по кли- ническим и демографическим характеристикам (p>0,05). В опытной группе по сравнению с группой стандартной реабилитации отмечалось более выраженное снижение балла по шкале тревоги HADS (2,0 (0,0; 7,0) vs 1,0 (0,0; 4,0), p=0,040) и улучшение КЖ по шкале EQ-5D-5L (European Quality of Life 5 Dimensions 5 Level Version) визуальной аналоговой шкалы (20,0% (0,0; 30,0) vs 15,0% (-25,0; 30,0), p=0,044), что сопровождалось бόльшим приростом дистанции при тесте 6-минутной ходьбы (до 51,0 (33,0; 86,0) м в опытной группе vs 30,0 (22,5; 56,0) м, p=0,001).
Заключение. Добавление ИГГТ к стандартной программе реабилитации пациентов с ИМ и ХСН снижает выраженность тревоги, повышает КЖ и улучшает переносимость физических нагрузок.
Что известно о предмете исследования?
- Кардиогенный шок остаётся ведущей причиной госпитальной летальности при инфаркте миокарда.
- Реперфузия миокарда и состояние микроциркуляции определяют прогноз, однако клинико-ангиографические предикторы исходов изучены недостаточно.
Что добавляют результаты исследования?
- Впервые показано, что при кардиогенном шоке, развившемся в первые 48 ч инфаркта миокарда, независимыми предикторами смерти в стационаре являются сахарный диабет 2 типа и более высокое систолическое артериальное давление при поступлении.
- Достижение оптимального ангиографического результата (Thrombolysis In Myocardial Infarction 3) ассоциируется с выраженным протективным эффектом.
Цель. Оценить клинико-гемодинамические, лабораторные и инструментальные характеристики пациентов с инфарктом миокарда (ИМ), у которых в течение 48 ч после поступления развился кардиогенный шок (КШ) стадии B и выше при отсутствии признаков шока на момент госпитализации, и определить факторы, ассоциированные с летальным исходом.
Материал и методы. В ретроспективный анализ включены 60 пациентов. В качестве основной конечной точки рассматривалась смерть в стационаре. Применялся одно- и многофакторный логистический регрессионный анализ.
Результаты. Летальность среди данной когорты пациентов составила 55%. Независимыми предикторами летального исхода в многофакторной модели явились: наличие сахарного диабета 2 типа (отношение шансов (OR — odds ratio) 149,6; p=0,001) и более высокое систолическое артериальное давление при поступлении (OR 1,08 за каждый 1 мм рт.ст.; p=0,015). Кроме того, достижение оптимальной реперфузии (TIMI 3 — Thrombolysis In Myocardial Infarction) оказалось независимым протективным фактором (OR 0,009; p=0,015). Площадь под ROC-кривой модели составила 0,70.
Заключение. У пациентов с ИМ и последующим развитием КШ уже при поступлении могут выявляться признаки, соответствующие стадии A по классификации SCAI (Society for Cardiovascular Angiography and Interventions). Эти параметры обладают прогностической значимостью и могут использоваться для ранней стратификации риска летального исхода и выбора стратегии мониторинга.
КАРДИООНКОЛОГИЯ
Что известно о предмете исследования?
- По мере улучшения показателей выживаемости пациентов со злокачественными новообразованиями растет необходимость профилактики и своевременной коррекции осложнений применения противоопухолевой терапии.
- В связи с неуклонным ростом использования ингибиторов контрольных точек (ИКТ) приобретает актуальность изучения распространенности и механизмов развития иммуно-опосредованных осложнений для разработки прогностических моделей с целью первичной профилактики.
Что добавляют результаты исследования?
- В рамках настоящего исследования продемонстрирована высокая частота сердечно-сосудистых осложнений на фоне ИКТ-терапии, что подчеркивает важность кардиомониторинга в данной группе больных, ведущая роль в котором отводится эхокардиографическому исследованию.
- Получены данные в пользу целесообразности использования эхокардиографического индекса производительности миокарда (Tei) левого желудочка и значений индекса массы тела пациента в базовой стратификации риска развития сердечно-сердечно сосудистых осложнений, что требует дальнейшей валидации.
Цель. Оценить частоту сердечно-сосудистых осложнений терапии ингибиторами контрольных точек (ИКТ) иммунного ответа и выявить их потенциальные предикторы.
Материал и методы. В исследование включены 82 пациента, получавших противоопухолевое лечение ИКТ иммунного ответа. Пациенты были обследованы до старта противоопухолевой терапии (точка 0), через 3 (точка 1) и 9 (точка 2) мес. после ее начала. Общая длительность наблюдения составила 12 мес. Во всех точках были оценены лабораторные показатели, включая тропонин I, N-концевой промозговой натрийуретический пептид, а также маркеры прогрессирования атеросклероза: окисленный липопротеин низкой плотности и белок теплового шока. Всем больным проведено эхокардиографическое исследование с оценкой параметров деформации миокарда левого желудочка (ЛЖ), ультразвуковое исследование сонных артерий и суточное мониторирование электро- кардиограммы.
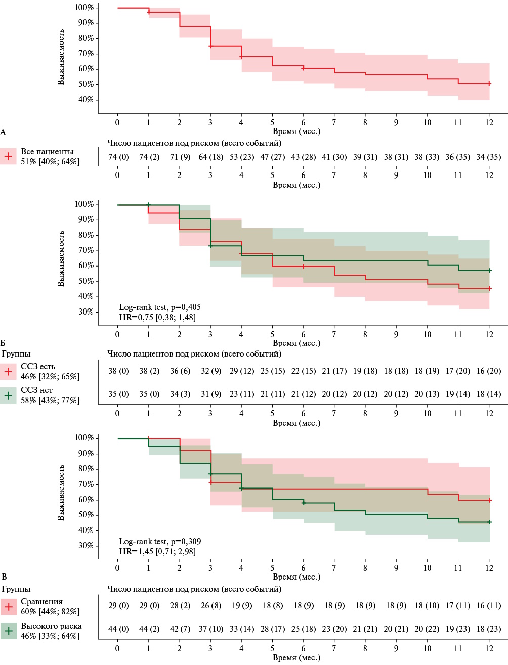
Результаты. Общая 12-мес. выживаемость пациентов составила 51% [40; 64], при этом не выявлено различий между пациентами с исходными сердечно-сосудистыми заболеваниями и без таковых: 46 vs 58% (р=0,405). Продемонстрировано клинически незначимое увеличение диаметра восходящей аорты (p=0,040), размеров (p=0,16) и объема (p=0,036) левого предсердия, конечного систолического объема (p=0,038) и снижение фракции выброса ЛЖ (p=0,022). За время наблюдения значимых изменений уровня кардиомаркеров отмечено не было. При этом, в качестве предикторов летальных исходов определены исходное повышение уровня тропонина I >3,5×10-3 пг/мл (отношение шансов — odds ratio, OR: 2,6, 95% доверительный интервал: 1,3-5,4 p=0,001) и уровень N-концевого промозгового натрийуретического пептида >134,8 пг/мл (OR: 2,4, 95% доверительный интервал: 1,1-5,3, р=0,038). Выявлена высокая частота сердечно-сосудистых событий 18,3% (n=15). Основными предикторами новых нетромбоэмболических сердечно-сосудистых событий были индекс массы тела <20,5 кг/м2 (отношение рисков — hazard ratio, HR: 4,2 [1,1; 17,2], p=0,041) и эхокардиографический индекс производительности миокарда ЛЖ >0,5 (HR: 10,7 [1,3; 86,5], p=0,026).
Заключение. Показана высокая частота сердечно-сосудистых осложнений ИКТ-терапии вне зависимости от исходного наличия у больных кардиальной патологии. Получены данные в пользу целесообразности использования эхокардиографического индекса производительности миокарда ЛЖ и значений индекса массы тела пациентов в базовой стратификации риска сердечно-сосудистых осложнений ИКТ.
АТЕРОСКЛЕРОЗ
Что известно о предмете исследования?
- Воспалительные заболевания кишечника (ВЗК) увеличивают риск атеросклеротических сердечно-сосудистых заболеваний, несмотря на меньшую частоту встречаемости традиционных факторов риска.
- Данные о влиянии пола на риск развития сердечно-сосудистых заболеваний у пациентов с ВЗК противоречивы.
Что добавляют результаты исследования?
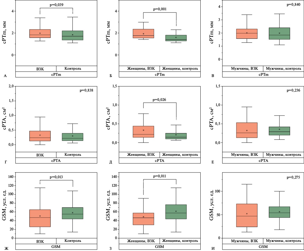
- Женщины с ВЗК и каротидным атеросклерозом характеризуются меньшей эхогенностью каротидных атеросклеротических бляшек и высокими показателями бремени атеросклероза в отличие от сопоставимой по возрасту группой контроля.
- Установленный диагноз ВЗК был связан с увеличением отношения шансов наличия гипоэхогенных каротидных атеросклеротических бляшек в модели с поправкой на возраст, ожирение, курение, артериальную гипертензию, уровни холестерина липопротеинов низкой плотности, триглицеридов, глюкозы и прием гиполипидемической терапии только среди женщин.
Цель. Изучить влияние пола на ультразвуковую морфологию атеросклеротической бляшки (АСБ) и бремя атеросклероза у пациентов с воспалительными заболеваниями кишечника (ВЗК) и каротидным атеросклерозом.
Материал и методы. Исследование спланировано по типу "случай-контроль". В основную группу (n=59, 28 женщин и 31 мужчина) включали пациентов в возрасте 40-64 лет с ВЗК, у которых были выявлены АСБ артерий каротидного бассейна. Группа контроля (n=149, 56 женщин и 93 мужчины) была подобрана из базы пациентов, имеющих каротидные АСБ. Всем пациентам проводили дуплексное сканирование артерий каротидного бассейна с определением эхогенности АСБ и измерением максимальной высоты, суммарной высоты и суммарной площади АСБ. Результаты. Эхогенность каротидных АСБ была значимо ниже у женщин с ВЗК в сравнении с группой контроля (p=0,011). Максимальная и суммарная высота АСБ, а также суммарная площадь АСБ была выше у женщин с ВЗК в сравнении с группой контроля (p=0,001; p=0,003; p=0,026, соответственно). Наличие ВЗК у женщин ассоциировалось с увеличением отношения шансов наличия гипоэхогенных каротидных АСБ в 4,14 раза (95% доверительный интервал: 1,11-15,5; p=0,035) после поправки на возраст, ожирение, курение, артериальную гипертензию, уровни холестерина липопротеинов низкой плотности, триглицеридов, глюкозы и прием гиполипидемической терапии.
Заключение. Женщины с ВЗК отличались меньшей эхогенностью каротидных АСБ и более высокими значениями показателей бремени каротидного атеросклероза в сравнении с сопоставимым по возрасту контролем. Наличие ВЗК ассоциировано с увеличением шансов визуализации гипоэхогенных каротидных АСБ среди женщин.
ОЦЕНКА РИСКА
Что известно о предмете исследования?
- Увеличение жировой составляющей в молочной железе (МЖ) может служить специфическим маркером риска сердечно-сосудистых заболеваний у женщин, независимо от индекса массы тела.
- Низкая плотность МЖ, наличие и распространенность кальцинатов МЖ по данным профилактической маммографии ассоциированы с более высоким сердечно-сосудистым риском (ССР) у женщин >40 лет.
Что добавляют результаты исследования?
- Впервые у женщин, представителей российской популяции, показано, что оценка ССР по данным профилактической маммографии может явиться основанием для определения дальнейшей маршрутизации пациенток в рамках диспансеризации.
- Сформированы пять групп риска сердечно-сосудистых заболеваний, статистически значимо различающихся по уровню ССР с учетом множественных сравнений.
- Разработан пошаговый алгоритм оценки ССР, потенциально пригодный для использования в клинической практике.
Цель. Оценка количественных параметров цифровой маммографии и создание на их основе интегрированной системы оценки сердечно-сосудистого риска (ССР) у женщин >40 лет.
Материал и методы. Исследование носило ретроспективный характер. Проведен анализ маммограмм 1029 пациенток в возрас- те от 40 до 75 лет, для которых были доступны данные, позволяющие оценить ССР. Изучаемые маммографические параметры: плотность и кальцинаты молочных желез. Данные, необходимые для оценки ССР, были получены из медицинских карт пациенток, получающих медицинскую помощь в амбулаторных условиях. ССР определялся как низкий, умеренный, высокий и очень высокий в соответствии с рекомендациями Российского кардиологического общества.
Результаты. Количественная оценка параметров, полученных при профилактической маммографии, позволяет разделить пациенток на 5 групп с разной вероятностью наличия у них высокого и очень высокого ССР. C помощью однофакторной логистической регрес- сии вычислялись отношения шансов для каждой из групп по сравнению с референсом (D0). В группах D1, D2, D3 и D4 шанс наличия ССР 3-4 ст. был более, чем в 2,1, 3,5, 4,9 и в 13,8 раз, соответственно. В литературе не описаны аналогичные и альтернативные методы алгоритмов для оценки ССР по данным профилактической маммографии.
Заключение. Создание пошагового алгоритма оценки ССР, потенциально пригодного для использования в клинической практике, позволит значительно облегчить и ускорить процесс выявления высокого ССР у женщин >40 лет без использования инвазивных методов исследования.
Что известно о предмете исследования?
- Влияние физиологических механизмов адаптации к экстремальному холоду и жаре на гемодинамику достаточно хорошо изучено, однако о влиянии атмосферного давления известно гораздо меньше.
Что добавляют результаты исследования?
- Впервые изучена структура лагов между воздействием меняющихся метеоусловий и откликом показателей гемодинамики.
- Показано, что влияние экстремальных температур на гемодинамику более выражено, чем влияние экстремальных значений атмосферного давления.
- Резкие суточные перепады атмосферного давления и экстремально низкое атмосферное давление статистически связаны с повышением артериального давления, а высокое атмосферное давление не является фактором риска артериальной гипертонии.
Цель. Оценить влияние волн жары, волн холода, экстремально низких и высоких значений атмосферного давления и суточных перепадов атмосферного давления на артериальное давление (АД) и частоту сердечных сокращение (ЧСС) у больных артериальной гипертонией (АГ) с использованием методики дистанционного мониторинга АД и ЧСС в различных регионах Российской Федерации.
Материал и методы. Анализ базы данных многоцентрового проспективного исследования "Оценка клинико-экономической эффективности дистанционного наблюдения больных артериальной гипертензией" проведен в рамках реализации стратегической инициативы социально-экономического развития России "Персональные медицинские помощники". В исследование включены больные АГ >18 лет, находящиеся на антигипертензивной терапии и проживающие в Тюмени (1374 человека), Новосибирске (428 человек) и Сургуте (548 человек). Измерения АД и ЧСС проводили утром и вечером. Наблюдение вели с 14.11.2023 по 23.12.2024. Изучение влияния метеофакторов на усредненные по пациентам суточные значения изучаемого физиологического показателя методом анализа временных рядов суточного разрешения проводили в два этапа. На первом этапе в каждом городе были вычислены "локальные эффекты", численно характеризующие влияние данного стресс-фактора на изучаемый физиологический показатель, использована линейная обобщенная регрессионная модель смертности. На втором этапе методом метаанализа случайных эффектов были получены совокупные оценки воздействия.
Результаты. Во время волн жары наблюдается снижение АД, причем амплитуда эффекта постепенно уменьшается с увеличением лага и сохраняет статистическую достоверность до 11-го дня. Во время волн холода наблюдается повышение АД, причем величина эффекта также снижается с увеличением лага и сохраняет статистическую достоверность до 3-го дня. По абсолютной величине эффект жары в 2-3 раза сильнее, чем эффект холода, и достигает 3,5 мм рт.ст. для систолического АД. Экстремально низкое атмосферное давление и особенно резкие перепады давления в течение суток являются факторами риска, т.е. ведут к повышению АД и ЧСС, однако абсолютная величина эффекта довольно мала, для систолического АД не >0,8 мм рт.ст.
Заключение. Результаты исследования подтвердили влияние метеофакторов на гемодинамику больных АГ, даже находящихся на антигипертензивной терапии. Дальнейшее изучение влияния метеофакторов на показатели АД и ЧСС имеет большую практическую значимость.
БИОБАНКИРОВАНИЕ
Что известно о предмете исследования?
- Показана роль биобанка в работе медицинского исследовательского центра.
- Описаны методы формирования коллекции патогенных, условно-патогенных и пробиотических микроорганизмов.
Что добавляют результаты исследования?
- Представлены результаты создания коллекции культур микроорганизмов, выделенных из биоматериалов, полученных от пациентов колопроктологического профиля с воспалительным заболеванием кишечника, болезнью Крона, несостоятельностью анастомозов и других заболеваний желудочно-кишечного тракта.
В статье рассматриваются ключевые аспекты структурной организации и функционирования биобанка, включая основные этапы процессинга биологических образцов. Особое внимание уделено реализации научных проектов с использованием консервированного биологического материала и коллекций штаммов микроорганизмов. Описаны принципы формирования коллекции штаммов микроорганизмов и биологического материала в криобанке, как подразделении референс-центра по верификации результатов микробиологических исследований по профилю "колопроктология", созданного на базе ФГБУ "НМИЦ колопроктологии им. А. Н. Рыжих" Минздрава России. Представлен опыт взаимодействия референс-центра с медицинскими организациями субъектов Российской Федерации в рамках системы мониторинга биологических рисков. Описана система криобанкирования образцов по приоритетным направлениям биомедицинских исследований. Полученные результаты демонстрируют значимость интегрированного подхода к биобанкированию в целях повышения эффективности научных и клинических разработок.
КЛИНИЧЕСКИЕ СЛУЧАИ
- Кальциноз артерий молочной железы и диффузный идиопатический скелетный гиперостоз имеют общие факторы риска с сердечно-сосудистыми заболеваниями — возраст, артериальную гипертонию, сахарный диабет 2 типа, гиперлипидемию.
- Оба состояния связаны с кальцификацией тканей, однако механизмы развития этих патологических состояний, по-видимому, различны.
- И кальциноз артерий молочной железы, и диффузный идиопатический скелетный гиперостоз ассоциируются с повышенным риском развития сердечно-сосудистых заболеваний, что требует направить усилия на выявление бессимптомных форм других хронических неинфекционных заболеваний.
Введение. Диффузный идиопатический скелетный гиперостоз (ДИСГ) представляет собой избыточное образование костной ткани и окостенение связочного аппарата, ассоциируется с мужским полом, возрастом, метаболическими факторами (ожирением, сахарным диабетом), кальцификацией грудного отдела аорты, повышенным риском ишемической болезни сердца. Кальциноз артерий молочной железы (КАМЖ) в настоящее время рассматривается как маркер сердечно-сосудистого риска у женщин, т.к. в многочис- ленных исследованиях продемонстрирована связь КАМЖ с ишемической болезнью сердца, ишемическим инсультом, сердечно-сосудистой смертностью. Распространенность ДИСГ и КАМЖ составляет ~10%, поэтому сочетание двух патологических состояний у пациентки представляет клинический интерес.
Краткое описание. У женщины 49 лет во время диспансеризации при рентгенографии легких был заподозрен ДИСГ, а также впервые выявлен КАМЖ умеренной степени тяжести. Через 3 года пациентка приглашена для участия в научной программе. При осмотре отсутствуют ограничения подвижности во всех отделах по- звоночника. Имеется ожирение 2 ст. При рентгенографии грудно- го отдела позвоночника определяется обызвествление передней продольной связки с особенностями, характерными для ДИСГ. При магнитно-резонансной томографии пояснично-крестцового отдела позвоночника и крестцово-подвздошного сочленения — отсутствие распространения процесса окостенения на другие отделы позвоночника, кроме грудного. В анализах крови отсутствуют признаки воспаления, нарушения кальциевого обмена, дислипидемия 2 а, отрицательный анализ на HLAВ27, что также свидетельствует в пользу ДИСГ. При повторной маммографии отмечено прогрессирование степени тяжести КАМЖ.
Дискуссия. При обнаружении КАМЖ и ДИСГ необходимо учитывать, что оба эти состояния ассоциируются со значимым увеличением риска сердечно-сосудистых заболеваний, поэтому важно уделять внимание имеющимся у пациента факторам риска и направить усилия на их коррекцию и выявление бессимптомных форм других хронических неинфекционных заболеваний.
- Открытое овальное окно может становиться причиной развития ишемического инсульта.
- Серьезные осложнения эндоваскулярного закрытия открытого овального окна развиваются редко, в связи с чем их точная частота не установлена, а тактика лечения не разработана.
- Клинический случай демонстрирует интраоперационный подъем сегмента ST, который мог быть вызван воздушной эмболией.
- В качестве профилактики предлагается тщательно промывать систему доставки до исчезновения пузырьков воздуха.
Введение. Частота осложнений эндоваскулярного закрытия открытого овального окна (ООО) считается невысокой, но для большинства из них она точно не установлена. Наиболее серьезными интраоперационными осложнениями являются повреждение стенки сердца и сосудов с развитием кровотечения, неправильное расположение окклюдера, тромбоэмболия, воздушная эмболия. Сообщения о тяжелых и потенциально летальных осложнениях единичны, в связи с чем их рассмотрение, а также определение тактики лечения является актуальным.
Краткое описание. Пациентка К., 36 лет, перенесла ишемический инсульт. При обследовании выявлено ООО со значительным шунтированием. С целью профилактики повторных ишемических событий рекомендовано эндоваскулярное закрытие ООО. Во время операции зарегистрирован подъем сегмента ST в отведениях II и III. На селективной коронарной ангиографии: дистальные отделы заднебоковой и задней нисходящей артерии не контрастируются. Интракоронарно введен нитроглицерин, что привело к восстановлению кровотока в артерии. После стабилизации состояния пациентки эндоваскулярное закрытие ООО было успешно завершено, окклюдер имплантирован.
Дискуссия. Возможными причинами интраоперационного подъема сегмента ST являются воздушная эмболия пузырьками воздуха, оставшимися в системе доставки после промывания, механическое раздражение межпредсердной перегородки. Меры профилактики включают тщательное промывание системы доставки и выбор размера окклюдера в соответствии с анатомическими особенностями сердца.
ISSN 2619-0125 (Online)












































